Abstrak
LATAR BELAKANG
Substrat jamur bekas merupakan limbah terpenting yang dihasilkan oleh industri jamur yang dapat dimakan dan dapat digunakan kembali sebagai pupuk organik, mengikuti prinsip-prinsip produksi berkelanjutan. Dalam penelitian ini, substrat jamur bekas (SPS) digunakan untuk pemupukan organik produksi daun muda selama dua siklus berturut-turut (1: Oktober hingga Desember; 2: Desember hingga Maret) menggunakan dua varietas selada (Doge dan Imperiale). Jumlah SPS yang berbeda dalam campuran dengan pupuk kimia diterapkan: 100% SPS untuk memenuhi kebutuhan N tanaman dan 50% mineral N (T100 + 50), 200% SPS untuk memenuhi kebutuhan N ganda (T200) dan 200% SPS untuk memenuhi kebutuhan N tanaman dan 50% mineral N (T200 + 50). Perlakuan SPS dibandingkan dengan kontrol yang tidak dipupuk (T0) dan perlakuan pemupukan kimia. Cakupan tanaman, indeks Pengembangan Analisis Tanah Tanaman (yaitu SPAD) dan hasil panen dipantau selama setiap siklus dan sampel tanah dianalisis untuk mengamati pengaruh SPS terhadap kesuburan tanah.
HASIL
Di antara perlakuan SPS, T100 + 50, yang menggabungkan 50% pemupukan mineral dengan SPS, menghasilkan hasil produksi terbaik di antara perlakuan SPS. Kombinasi ini meningkatkan ketersediaan nutrisi, sedangkan konsentrasi SPS yang lebih tinggi (T200, T200 + 50) mengurangi hasil panen karena imobilisasi nitrogen. Kandungan nitrogen tanah awal yang tinggi membatasi perubahan signifikan dalam nitrogen tanah, tetapi SPS meningkatkan bahan organik tanah, karbon aktif, dan aktivitas enzim, sehingga meningkatkan aktivitas mikroba. Di antara kedua varietas selada, perbedaan dalam penyerapan dan pemanfaatan nitrogen diamati.
KESIMPULAN
Secara keseluruhan, penelitian ini menyoroti potensi SPS mentah sebagai pupuk organik berkelanjutan untuk budidaya daun muda. Menggabungkan SPS bersama setengah dari kebutuhan mineral nitrogen tanaman menawarkan alternatif yang menjanjikan untuk pemupukan mineral konvensional. Setelah hanya dua siklus panen, pendekatan ini mempertahankan hasil panen yang baik sekaligus meningkatkan bahan organik tanah dan aktivitas enzimatik, yang pada akhirnya meningkatkan kesuburan tanah. © 2025 Penulis. Jurnal Ilmu Pangan dan Pertanian yang diterbitkan oleh John Wiley & Sons Ltd atas nama Society of Chemical Industry.
PERKENALAN
Produksi industri jamur dunia terus berkembang dalam beberapa tahun terakhir. Pada tahun 2021, FAOSTAT menghitung bahwa 44 juta ton jamur dan truffle diproduksi di seluruh dunia. 1 Singh dkk . 2 memperkirakan bahwa produksi industri jamur yang dapat dimakan dapat mencapai 50 juta ton pada tahun 2025 dengan melihat pola pertumbuhan negara-negara penghasil utama. Limbah terpenting yang dihasilkan oleh industri ini adalah substrat jamur bekas (SMS), yang merupakan substrat budidaya di akhir siklus produksi. Sebagian besar terdiri dari bahan lignoselulosa terdegradasi yang terbuat dari bioproduk pertanian, miselium jamur sisa, nutrisi, dan enzim. Telah dihitung bahwa, rata-rata, 5 kg substrat jamur bekas diproduksi untuk setiap kg jamur yang dapat dimakan. 3 Bahan ini biasanya dibuang setelah produksi dan, untuk industri, jumlah limbah yang dihasilkan sulit dikelola. 4 Komposisi SMS dapat bervariasi menurut spesies jamur budidaya yang diproduksi. Saat ini, sebagian besar literatur mengacu pada SMS yang berasal dari budidaya Agaricus bisporus , yang merupakan jamur yang dapat dimakan terpenting yang diproduksi di wilayah barat. SMS Agaricus bisporus umumnya tersusun dari jerami gandum, kotoran kuda dan ayam dan umumnya dicirikan oleh rasio C/N sebesar 15.5 Jamur budidaya terpenting kedua di Eropa adalah Pleurotus spp. dan substrat budidaya yang umum tersusun dari jerami atau berbagai residu limbah pertanian (yang dipasteurisasi atau disterilkan) dan berbagai bentuk suplementasi nitrogen untuk mencapai rasio C / N sekitar 40-50 pada akhir siklus.6
Menurut teori ekonomi sirkular, pada akhir rantai produksi ini, limbah-limbah ini harus digunakan sebagai sumber daya untuk tujuan lain. Dalam beberapa dekade terakhir, banyak penelitian telah dilakukan pada penggunaan kembali SMS seperti untuk bioremediasi, 4 – 7 produksi energi melalui fasilitas biogas, 8 , 9 pakan alternatif untuk pemeliharaan hewan, 10 produksi jamur yang dapat dimakan lainnya, 11 substrat budidaya untuk produksi tanaman pembibitan 12 , 13 dan pemupukan organik tanah. 10 , 14 , 15 Aplikasi SMS sebagai pupuk organik telah menjadi fokus penelitian ekstensif dalam beberapa tahun terakhir, dengan percobaan yang melibatkan berbagai sayuran. 5 , 13 , 16 – 19 Aplikasi SMS dapat memiliki efek positif pada kualitas tanah, termasuk mengurangi patogen penyakit yang ditularkan melalui tanah, 20 mengurangi densitas massal, dan meningkatkan agregasi tanah dan kandungan bahan organik. 21 Chen et al . 14 menunjukkan bahwa SMS dari produksi jamur yang berbeda dapat diadopsi sebagai pemupukan organik dan dapat meningkatkan nitrogen, fosfor, dan kalium dalam rotasi ladang terbuka jagung dan gandum. Sebagian besar literatur mengenai pemupukan organik mengamati efek substrat Pleurotus bekas (SPS) dalam campuran dengan substrat Agaricus bekas atau setelah perawatan pasca-pemrosesan seperti pengomposan. 21 Beberapa penelitian telah dilakukan hanya menggunakan SMS mentah dari budidaya Pleurotus , seperti yang dilakukan oleh Somnath et al . 18 yang membudidayakan Capsicum annum dalam pot. Namun, SPS mentah belum pernah digunakan dalam uji coba dengan sayuran berdaun. Aplikasi SPS sebagai pupuk dapat mengurangi dampak lingkungan dari sistem penanaman intensif sebagai sayuran berdaun.
Khususnya, budidaya selada daun muda sangat intensif dengan rata-rata enam siklus pertumbuhan dan hampir 10 kali pemotongan per tahun. Durasi setiap siklus dapat berkisar antara 25 dan 30 hari pada musim semi-panas, hingga 60 hari selama musim dingin. 22 Banyaknya siklus panen menyebabkan pengolahan tanah yang intensif, input pemupukan kimia yang tinggi, dan mineralisasi bahan organik tanah yang lebih cepat. 23 Pemupukan merupakan faktor kunci untuk produksi daun muda karena kandungan nitrat dalam produk komersial harus mematuhi Reg. UE 2023/915. 24 Lebih jauh lagi, pemupukan kimia dalam suksesi penanaman berkelanjutan dan siklus pendek dapat menjadi masalah lingkungan sebagai akibat dari pencucian nitrogen tanah dan dampak negatifnya terhadap fungsi ekosistem. 25 , 26 Oleh karena itu, menggunakan sumber nutrisi dan bahan organik yang berkelanjutan untuk produksi daun muda sangatlah penting. 23
Atas dasar ini, penelitian ini bertujuan untuk mengevaluasi apakah aplikasi SPS mentah cocok untuk produksi selada daun muda di lingkungan yang terlindungi, yang, berkenaan dengan karakteristik produktifnya, perlu ditemukan metode alternatif untuk mempertahankan hasil panen dan meningkatkan kesuburan tanah. Selama uji coba yang berlangsung selama 6 bulan, efek aplikasi SPS dalam jumlah yang berbeda diamati secara mendalam melalui pengukuran pada produksi panen, efisiensi penggunaan N, dan kesuburan tanah dengan fokus khusus pada aktivitas enzim.
BAHAN DAN METODE
Pengaturan percobaan
Percobaan dilakukan di rumah kaca plastik bentang ganda, berorientasi utara-selatan, di Italia Timur Laut 26 m di atas permukaan laut (45°35′36″N; 11°56′45″E). Area percobaan (lebar 45 × 8 m) berada di bagian tengah rumah kaca (lebar 2 ha) dengan permukaan bentang dibagi menjadi empat bedengan yang ditinggikan, lebar 1,6 m. Setiap bedengan yang ditinggikan dibagi dalam petak-petak sepanjang 10 m, dengan permukaan 16 m 2 .
Percobaan dimulai pada 18 Oktober 2022 dan berakhir pada 6 Maret 2023. Dua siklus penanaman berturut-turut menggunakan dua varietas selada daun muda ( Lactuca sativa L.) dievaluasi: Doge (Levantia Seed, Rovigo Italia) dan Imperiale (Il Mulino, Venice, Italia), yang ditanam dengan kepadatan 2500 tanaman m −2 di bedengan yang sama selama kedua siklus. Perlakuan pemupukan dilakukan di setiap plot dengan dua kali ulangan untuk setiap perlakuan. Rincian lebih lanjut tentang waktu praktik agronomi yang paling penting selama siklus penanaman, survei, dan aktivitas pengukuran disediakan dalam Tabel 1 .
| Siklus | Pemupukan | Penaburan | Pengukuran cakupan | Pengukuran SPAD | Panen dan survei |
|---|---|---|---|---|---|
| tanggal 1 | 18 Oktober 2022 | 22 Oktober 2022 | 27 Oktober 2022
7 Nopember 2022 23 Nopember 2022 |
23 Nopember 2022 | 1 Desember 2022 |
| DAS | 8
19 33 |
33 | 40 | ||
| ke 2 | 14 Desember 2022 | 24 Desember 2022 | 13 Januari 2023
2 Februari 2023 23 Februari 2023 |
9 Februari 2023
23 Februari 2023 |
6 Maret 2023 |
| DAS | 21
41 61 |
47
61 |
72 |
SPAD, Indeks Pengembangan Analisis Tanah dan Tanaman. Pada awal percobaan, sampel tanah diambil dari 20 cm tanah teratas untuk mengkarakterisasi sifat kimia awal, dan hasilnya ditunjukkan pada Tabel 2 .
| Kedalaman (m) | Karbon organik (%) | Karbon anorganik (%) | Jumlah N | Jumlah P | Jumlah K | Ca | Tidak | Tuhan |
|---|---|---|---|---|---|---|---|---|
| (g kg -1 berat jenis) | ||||||||
| 0–0,20 | 1.44 | 0.27 | 1.67 | 1.60 | 6.70 | 11.58 | 0.35 | 7.70 |
Nilai dinyatakan sebagai berat kering (DW).
Pengelolaan substrat pleurotus bekas
Sebelum setiap penanaman, SPS dikumpulkan dari kantong plastik di akhir siklus jamur. SPS, yang sebagian besar terdiri dari jerami yang dikomposkan dan miselium P. ostreatus , dicacah dan dikubur di dalam tanah dengan alat penggali, kemudian tanah diratakan dan disiapkan untuk penanaman. Tabel 3 menunjukkan karakterisasi kimia SPS yang digunakan dalam penelitian ini. Untuk setiap siklus panen, 35 kg ha −1 N, 7 kg ha −1 P dan 4,73 kg ha −1 K digunakan untuk pemupukan selada daun muda. Lima perlakuan pemupukan dengan SPS diuji untuk memenuhi kebutuhan N tanaman: T100 + 50 dengan 100% SPS (12,5 t ha -1 ) untuk memenuhi kebutuhan N tanaman dan 50% tambahan N melalui pemupukan kimia (Urea, 46%), T200 dengan 200% SPS (25 t ha -1 ) untuk memenuhi dua kali lipat kebutuhan nitrogen tanaman dan T200 + 50 dengan 200% SPS (25 t ha -1 ) untuk memenuhi dua kali lipat kebutuhan nitrogen tanaman dan tambahan 50% pemupukan kimia (Urea, 46%); T0 adalah kontrol tanpa pemupukan kimia atau organik dan TMIN di mana kebutuhan N tanaman (Tabel 4 ) terpenuhi hanya dengan pemupukan mineral. Perlakuan nitrogen mineral yang mengandung SPS dipilih untuk membatasi efek imobilisasi karena rasio C/N SPS yang tinggi dan membuat perlakuan pemupukan lebih sesuai untuk siklus pertumbuhan selada daun muda yang pendek. Kebutuhan nutrisi fosfor dan kalium dipenuhi dengan distribusi SPS pada T100 + 50, T200 dan T200 + 50 dan melalui pemupukan mineral (triple superphosphate [39,1% P 2 O 5 ], serta kalium sulfat [48% K 2 O]) pada TMIN. Jumlah SPS dan pupuk mineral yang digunakan untuk setiap perlakuan ditunjukkan pada Tabel 4 .
| Parameter | SPS | |
|---|---|---|
| Karbon organik | (%) | 31.1 |
| Karbon anorganik | (%) | 0.62 |
| Jumlah N | (%) | 0.7 |
| Rasio C:N | 45.3 | |
| Tidak 3 − | (mg/kg −1 ) | 18.1 |
| Tidak 2 − | (mg/kg −1 ) | 9.90 |
| NH4 + | (mg/kg −1 ) | 40.5 |
| Jumlah P | (mg/kg −1 ) | 614 |
| PO4 3− | (mg/kg −1 ) | 296 |
| K + | (gram/kg −1 ) | 259 |
| Mg2 + ( MgO2) | (gram/kg −1 ) | 171 |
| kalsium 2+ | (gram/kg −1 ) | 75.9 |
| Jadi 4 2− | (gram/kg −1 ) | 52.4 |
| Tidak + | (gram/kg −1 ) | 39.8 |
| Cl − | (gram/kg −1 ) | 157 |
| Bahan kering | (%) | 36 |
| masukan NPK | T0 | TMIN | T100 + 50 | Bahasa Indonesia: T200 | T200 + 50 | |
|---|---|---|---|---|---|---|
| N | (kg ha −1 ) | angka 0 | 35,0 juta | 35SPS + 17,5 juta | 70 SPS | 70SPS + 17,5 juta |
| P | (kg ha −1 ) | angka 0 | 7,0 juta | 80 SPS | 160 SPS | 160 SPS |
| Bahasa Inggris: K | (kg ha −1 ) | angka 0 | 4,73 juta | 94 SPS | 188 SP | 188 SP |
Unsur NPK dihitung dalam kg ha −1 dan berasal dari sumber organik (SPS). Sumber mineral (M) dari urea 46% untuk N, triple superfosfat (39,1%) untuk P dan kalium sulfat (48%) untuk K. Survei tanaman Pengukuran fase pertumbuhan Selama setiap siklus panen, berbagai penilaian dilakukan untuk mengamati pertumbuhan selada daun muda. Dengan bingkai persegi berukuran 20 × 20 cm, tiga foto untuk setiap petak diambil dan dianalisis dengan ImageJ (NIH, Bethesda, MD, AS) untuk memperoleh persentase tutupan tanah. Kemudian, tepat sebelum waktu panen, indeks klorofil daun [yaitu nilai indeks Pengembangan Analisis Tanah dan Tanaman (SPAD)] ditentukan dengan SPAD-502 Plus (Konica Minolta, Inc., Tokyo, Jepang), dengan mengambil 15 pembacaan untuk setiap petak.
Pengukuran panen
Pada saat panen, tinggi 30 tanaman diambil. Kemudian, pada tiga sampel seluas 900 cm 2 untuk setiap plot, daun tanaman dipotong pada ketinggian 4 cm dari permukaan tanah, sesuai dengan praktik standar untuk spesies tersebut, dan biomassa diukur. Setelah itu, bagian tanaman yang tersisa (sisa tanaman) juga dikumpulkan dan ditimbang. Biomassa sebelumnya digunakan untuk mengevaluasi hasil komersial, sedangkan jumlah biomassa komersial + sisa tanaman menentukan total biomassa udara. Subsampel dari biomassa komersial dikeringkan beku untuk analisis kualitatif; bagian yang tersisa, bersama dengan bagian nonkomersial, dikeringkan dalam oven pada suhu 65 °C hingga berat konstan untuk menentukan kandungan bahan kering dari total dan biomassa komersial.
Sampel tanah diambil secara acak dari ladang pada akhir setiap siklus panen menggunakan sekop pengambil sampel tanah yang mengambil sekitar tiga inti (100 g) dari setiap petak hingga kedalaman sekitar 20 cm. Semua inti kemudian digabungkan menjadi satu sampel komposit, diangkut ke laboratorium dan disimpan pada suhu 4 °C sebelum menentukan DW, karbon aktif, bahan organik dan aktivitas enzim tanah (dehidrogenase dan aktivitas hidrolase total). Setiap analisis dilakukan pada tiga replikasi laboratorium.
Pada akhir setiap siklus panen, sisa-sisa panen dibakar dan kemudian dikubur di dalam tanah yang dipersiapkan untuk penanaman berikutnya.
Efisiensi penggunaan nitrogen
Efisiensi penggunaan nitrogen dievaluasi menggunakan pendekatan yang disarankan oleh Fageria et al . 27 , menghitung: efisiensi agronomi (AE), efisiensi fisiologis (PE), efisiensi pemulihan nyata (ARE) dan efisiensi pemanfaatan (UE).
Indeks nitrogen dihitung menggunakan:

di mana Gf adalah biomassa komersial dari plot yang diberi pupuk (kg), Gu adalah biomassa komersial dari plot yang tidak diberi pupuk (kg), Na adalah jumlah N yang diberikan (kg), BYf adalah total biomassa dari plot yang diberi pupuk (kg), BYu adalah total biomassa dari plot yang tidak diberi pupuk (kg), Nf adalah serapan N (dari total biomassa) dari plot yang diberi pupuk dan Nu adalah serapan N (dari total biomassa) dari plot yang tidak diberi pupuk (kg).
Survei kualitatif
Karakterisasi Kimia Tanah dan SPS
Mengenai penentuan kandungan anion dan kation, kromatografi ion (IC) dilakukan menggunakan Metrohm 930 Compact IC Flex (Metrohm Corp., Herisau, Swiss) yang dilengkapi dengan pompa piston ganda, IC autosampler plus 919, kolom isokratik pada suhu terkontrol (35°C), detektor konduktivitas, dan penekan kimia untuk anion. Perangkat lunak MagIC Net (Metrohm Corp.) digunakan untuk kontrol sistem dan pemrosesan data. Kolom analitis Metrosep A Supp 5-250/4.0 dan kolom pelindung (4 × 50 mm) (Metrohm Corp.) digunakan untuk pemisahan anion, sedangkan kolom analitis dan pelindung Metrosep C 6-250/4.0 (4 × 50 mm) (Metrohm Corp.) digunakan untuk pemisahan kation. Eluen terdiri dari 3,2 mmol L −1 natrium karbonat dan 1 mmol L −1 natrium bikarbonat pada laju alir 0,7 mL min −1 untuk anion dan 4 mmol L −1 asam nitrat dan 0,7 mmol L −1 asam oksalat pada laju alir 0,9 mL min −1 untuk kation. Anion dan kation diukur dengan mengikuti metode kalibrasi. Bahasa Indonesia: Dionex Seven Anion Standard II (prod. no. 057590; Thermo Fisher Scientific, Waltham, MA, AS), Anion multi-element standard I (produk no. 1.11437.0500; Merk, Rahway, NJ, AS), Anion multi-element standard II (produk no. 1.11448.0500; Merk), Lithium Standard for IC (produk no. 59878; Sigma-Aldrich, St Louis, MO, AS), Sodium Standard for IC (produk no. 43492; Sigma-Aldrich), Potassium Standard for IC (produk no. 53337; Sigma-Aldrich), Calcium Standard for IC (produk no. 39865; Sigma-Aldrich), Magnesium Standard for IC (produk no. 89441; Sigma-Aldrich) dan Ammonium Standard for IC (produk no. 59755; Sigma-Aldrich) pada suhu yang berbeda Konsentrasi nitrogen diambil sebagai standar dan kurva kalibrasi dibuat, dengan konsentrasi berkisar antara 0,1 hingga 100 mg L −1 . Kandungan nitrogen dalam sampel tanah diukur sesuai dengan metode Kjeldhal.
Mengenai unsur P, dan K, sampel kering dimineralisasi mengikuti metode yang diusulkan oleh Zancan et al . 28 Sampel kemudian disaring, dan larutan digunakan untuk penentuan unsur, dengan spektrofotometer emisi SPECTRO Ciros melalui spektroskopi emisi plasma-atomik yang digabungkan secara induktif (Spectrum Italy Srl, Milan, Italia).
Sampel tanah dan analisis
Tanah segar ditimbang (8 g) dan dikeringkan dalam oven pada suhu 105 °C hingga beratnya konstan untuk menentukan berat jenis tanah. Sampel tanah dikeringkan dengan udara dan dihomogenkan melalui saringan 1 mm sebelum penentuan karbon aktif pada 550 nm menggunakan spektrofotometer UV-tampak (DU-50 UV-tampak; Beckman Instruments, Inc., Fullerton, CA, AS). 29 Bahan organik dinilai berdasarkan kehilangan akibat pembakaran (5 jam pada suhu 600 °C). Hasilnya dinyatakan sebagai berat jenis.
Aktivitas dehidrogenase (DHA, EC 1.1) diuji menggunakan garam tetrazolium sebagai substrat menurut Moeskops et al . 30 Total aktivitas hidrolitik (THA) diukur dengan metode fluorescein diacetate sebagai potensi total enzimatik (protease, lipase , esterase non-spesifik). 31 Aktivitas enzim dinyatakan dalam μg –1 produk g –1 DW tanah h –1 .
Analisis statistik
Penelitian ini disusun sebagai eksperimen faktorial 5 × 2 × 2 (lima perlakuan pemupukan × dua varietas × dua siklus panen) dalam rancangan blok acak lengkap dengan tiga kali ulangan. Untuk analisis statistik, RStudio (Posit PBC, Boston, MA, AS) digunakan untuk melakukan analisis varians tiga arah (ANOVA), untuk nilai F yang signifikan , dan rerata dibandingkan dengan uji perbedaan signifikan jujur (HSD) Tukey. P < 0,05 dianggap signifikan secara statistik.
HASIL
Pengukuran pertumbuhan dan hasil
Persentase tutupan vegetasi diukur pada waktu yang berbeda selama setiap siklus tanam (Gbr. 1 ). Pada 19 hari setelah tanam (HST), kedua varietas menunjukkan perbedaan yang signifikan antara perlakuan. Imperiale memiliki lebih dari 50% tutupan pada T0, TMIN dan T100 + 50, sedangkan T200 dan T200 + 50 menunjukkan pertumbuhan yang lebih rendah dengan persentase di bawah 30%. Varietas Doge memiliki tren yang sama, tetapi untuk T200 dan T200 + 50, tutupan lebih tinggi daripada Imperiale (Gbr. 1a,b ). Pada akhir siklus tanam (33 HST), T0, TMIN dan T100 + 50 memperoleh 100% tutupan pada kedua varietas, sedangkan perlakuan T200 + 50 dan T200 memperoleh kurang dari 80% tutupan. Pada siklus ke-2 budidaya (Gbr. 1c,d ), setelah 21 hari, Imperiale menunjukkan perbedaan nyata antar perlakuan dengan T0 (24,53%) lebih tinggi daripada T200 (15,47%). Selama survei kedua (41 DAS), baik Imperiale maupun Doge menunjukkan perbedaan nyata menurut perlakuan: Imperiale memiliki persentase lebih tinggi pada perlakuan T0 dan T100 + 50 (masing-masing 53,77% dan 42,95%) sedangkan Doge memperoleh cakupan lebih tinggi pada T0 (51,19%). Pada saat panen, TMIN mencapai 100% cakupan untuk Imperiale, sedangkan, untuk Doge T0, TMIN dan T100 + 50 memperoleh cakupan lebih tinggi dibandingkan dengan T200 dan T200 + 50, yang berada di bawah 60%.

Tabel 5 menunjukkan total biomassa segar, indeks SPAD dan kandungan nitrat dari setiap siklus tanam. Produksi total biomassa tanaman signifikan untuk ketiga faktor utama: perlakuan pemupukan (FT), varietas (V) dan siklus tanam (C). Imperiale menghasilkan biomassa yang lebih tinggi dibandingkan dengan Doge. Selain itu, siklus ke-2 memiliki produksi biomassa yang lebih tinggi dibandingkan dengan yang pertama. Perlakuan pemupukan sangat signifikan ( P < 0,001) dan T0 dan TMIN memiliki nilai biomassa yang lebih tinggi (rata-rata, 2,46 kg m −2 ), T100 + 50 menghasilkan rata-rata 1,99 kg m −2 (−24,0% dibandingkan dengan T0). Akhirnya, T200 dan T200 + 50 memiliki nilai biomassa terendah, rata-rata −54,8% dibandingkan dengan T0. Selain itu, interaksi yang ditunjukkan pada Gambar 2(a) antara siklus tanam dan varietas menunjukkan signifikansi yang lebih tinggi ( P < 0,001) dengan Imperiale × siklus ke-2 yang memiliki nilai biomassa lebih tinggi dibandingkan dengan Imperiale × siklus ke-1 (−39,4%); di sisi lain, Doge memperoleh nilai biomassa lebih rendah dengan 1,80 dan 1,61 kg m −2 pada siklus ke-1 dan ke-2, masing-masing.

| Biomassa (kg m −2 FW) | SPAD | Nitrat (mg kg −1 FW) | |||||
|---|---|---|---|---|---|---|---|
| Perlakuan pemupukan (FT) | |||||||
| T0 | 2.6 | ± 0,13 satuan | 18.2 | ± 0,5 satuan | tahun 1127 | ± 148 | |
| TMIN | 2.3 | ± 0,09 inci | 16.5 | ± 0,4 miliar | tahun 1444 | ± 159 | |
| T100 + 50 | 2.0 | ± 0,15 miliar | 15.7 | ± 0,4 miliar | tahun 1369 | ± 137 | |
| Bahasa Indonesia: T200 | 1.2 | ± 0,09 detik | 15.7 | ± 0,4 miliar | tahun 1486 | ± 129 | |
| T200 + 50 | 1.2 | ± 0,07 detik | 16.1 | ± 0,3 miliar | tahun 1391 | ± 120 | |
| Makna | *** | *** | NS | ||||
| Varietas (V) | |||||||
| Anjing (D) | 1.7 | ± 0,09 miliar | 15.9 | ± 0,3 miliar | tahun 1349 | ± 84,2 | |
| Kekaisaran (I) | 1.9 | ± 0,11 satuan | 16.8 | ± 0,2 satuan | tahun 1403 | ± 92,5 | |
| Makna | * | *** | NS | ||||
| Siklus (C) | |||||||
| tanggal 1 | 1.7 | ± 0,08 miliar | 13.3 | ± 0,1 miliar | tahun 1789 | ± 86,3 jam | |
| ke 2 | 1.9 | ± 0,12 satuan | 19.1 | ± 0,2 satuan | tahun 1005 | ± 56,4 miliar | |
| Makna | * | *** | *** | ||||
Rata-rata diikuti oleh SE; huruf kecil yang berbeda menunjukkan perbedaan yang signifikan antara perlakuan menurut uji HSD Tukey. Catatan : NS, tidak signifikan. * Nilai p < 0,05. *** Nilai F < 0,001.
Mengenai nilai SPAD daun, kedua perlakuan pemupukan, varietas dan siklus tanam menunjukkan efek yang nyata (Tabel 5 ). Perlakuan pemupukan menunjukkan nilai SPAD yang lebih tinggi pada T0 (18,2) dibandingkan dengan semua perlakuan lainnya (rata-rata 16,0). Imperiale menunjukkan nilai SPAD yang lebih tinggi daripada Doge, sedangkan siklus tanam memiliki efek yang nyata pada variabel ini, dengan indeks yang lebih tinggi pada siklus tanam ke-2 dibandingkan dengan yang pertama. Dalam interaksi ‘FT × V’ yang ditunjukkan pada Gambar 3(b) , nilai SPAD di Imperiale serupa di antara perlakuan pemupukan, sedangkan, di Doge, beberapa perbedaan diamati, dengan T0 menunjukkan nilai yang lebih tinggi dan T100 + 50, T200 dan T200 + 50 menunjukkan nilai yang lebih rendah. Juga, interaksi ‘V × C’ menunjukkan bahwa, pada siklus ke-1, Imperial memiliki nilai SPAD yang lebih tinggi daripada Doge, sedangkan, pada siklus ke-2, tidak ada perbedaan yang diamati (Gbr. 2(b) ).

Kandungan nitrat dalam produk komersial tidak terpengaruh baik oleh perlakuan pemupukan maupun varietas. Siklus tanaman secara statistik signifikan untuk kandungan nitrat, dengan siklus ke-1 memiliki nilai rata-rata 1789 mg NO −3 kg −1 berat segar (FW), yang 78,0% lebih tinggi dibandingkan dengan siklus ke-2. Interaksi ‘FT × V’ signifikan (Gbr. 3b ) Imperiale memiliki kandungan nitrat yang lebih tinggi pada T0 dan TMIN (masing-masing 1318 dan 1874 mg NO −3 kg −1 FW), sedangkan Doge, dengan perlakuan pemupukan yang sama, mengakumulasikan konsentrasi terendah (masing-masing 937 dan 1013 mg NO −3 kg −1 FW). Pada Gambar 2(c) , interaksi ‘V × C’ menunjukkan bahwa, pada siklus pertama, kandungan nitrat Doge lebih tinggi dibandingkan dengan Imperiale, sedangkan, pada siklus berikutnya kandungan nitrat sama untuk kedua varietas (dalam kisaran 1097–913 mg NO −3 kg −1 FW).
Indeks dan keseimbangan nitrogen
Tabel 6 menunjukkan hasil analisis ANOVA untuk berbagai indeks efisiensi nitrogen. Efisiensi agronomi (AE) menunjukkan perbedaan yang sangat signifikan untuk semua faktor utama dan interaksi. Untuk perlakuan pemupukan T200 + 50 dan T100 + 50 memperoleh nilai yang lebih tinggi (−62 kg kg −1 N dan – 74,8 kg kg −1 N) dan T200 memperoleh nilai terendah (−97,9 kg kg −1 N). Mengenai faktor utama lainnya, nilai yang lebih tinggi ditemukan pada siklus ke-1 (+53,5% dibandingkan dengan siklus ke-2) dan juga untuk varietas Imperiale (+20,8% dibandingkan dengan Doge).
| AE (kg-kg −1 ) | PE (kg-kg −1 ) | ADALAH (%) | Uni Eropa | |||||
|---|---|---|---|---|---|---|---|---|
| Perlakuan pemupukan (FT) | ||||||||
| TMIN | -91,4 | ± 12,3 SM | -5,53 | ± 112 | -4,99 | ± 5.10 | -460,0 | ± 1338 tahun |
| T100 + 50 | -74,8 | ± 97,9 inci | 254 | ± 296 | -12,2 | ± 4,08 | -4388 | ± 1236 tahun lalu |
| Bahasa Indonesia: T200 | -97,9 tahun | ± 6,39 detik | 815 | ± 337 | -17,8 | ± 4,67 tahun | -7460 | ± 1821 tahun |
| T200 + 50 | -62,0 | ± 5,82 jam | 466 | ± 27,8 | -15,5 | ± 3,65 | -5767 | ± 1378 SM |
| Makna | *** | NS | NS | *** | ||||
| Varietas (V) | ||||||||
| Anjing (D) | -89,2 | ± 5,25 miliar | 509 | ± 183 | -10,1 | ± 3,22 | -4812 | ± 8364 |
| Kekaisaran (I) | -73,8 | ± 7,74 tahun | 255 | ± 149 | -15,2 | ± 3,06 | -4226 | ± 6613 |
| Makna | *** | NS | NS | NS | ||||
| Siklus (C) | ||||||||
| tanggal 1 | -51,6 | ± 5,31 tahun | 504 | ± 210 | -24,9 | ± 3,70 miliar | -8874 | ± 1251 tahun lalu |
| ke 2 | -111 | ± 4,85 miliar | 260 | ± 107 | -0,32 | ± 0,04 satuan | -164,0 | ± 17,90 per bulan |
| Makna | *** | NS | *** | *** | ||||
Huruf kecil yang berbeda menunjukkan perbedaan yang signifikan antara perlakuan dengan P < 0,05 menurut uji HSD Tukey. Catatan: NS, tidak signifikan. *** Nilai F < 0,001.
Untuk interaksi ‘FT × V’ yang ditunjukkan pada Gambar 4(a) , Imperiale memperoleh nilai AE yang lebih tinggi pada TMIN, T100 + 50 dan T200 + 50 dibandingkan dengan Doge, yang hanya memiliki nilai lebih tinggi pada T200 + 50. Mengenai interaksi ‘FT × C’ (Gambar 4(b) ) pada siklus ke-1, T200 mengungguli perlakuan lainnya, sedangkan, pada siklus ke-2, nilai yang lebih tinggi diperoleh pada T200 + 50. Terakhir, interaksi ‘V × C’ menunjukkan bahwa Imperiale memiliki AE yang lebih tinggi pada siklus ke-1 dibandingkan dengan Doge, tetapi, pada siklus tanaman ke-2, nilai indeks AE tidak berbeda secara statistik antara varietas (Gambar 4c ). Meskipun PE tidak dipengaruhi oleh faktor dan interaksi utama, ARE hanya dipengaruhi oleh siklus panen: nilai yang lebih tinggi ditemukan pada siklus ke-2 (−0,32%) dibandingkan dengan siklus ke-1 (−24,9%) (Tabel 6 ). Indeks EU menunjukkan perbedaan signifikan untuk perlakuan pemupukan: TMIN (−460 kg kg −1 ) memiliki nilai lebih tinggi dibandingkan dengan T200 dan T200 + 50 (−7460 kg kg −1 dan −5767 kg kg −1 ), serta nilai yang lebih tinggi pada siklus ke-2 dibandingkan dengan yang pertama. Juga untuk EU interaksi “FT × C signifikan ( P < 0,001) dengan TMIN melaporkan nilai tertinggi pada siklus ke-1 dibandingkan dengan perlakuan lainnya, sedangkan tidak ada perbedaan yang diamati pada siklus panen ke-2.

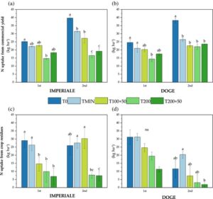
Gambar 5(a) menunjukkan serapan nitrogen dari hasil panen komersial di kedua siklus tanam untuk varietas Imperiale, di mana T0 memiliki serapan tertinggi (25,1 kg ha −1 ) dan T200 terendah (14,7 kg ha −1 ). Pada siklus tanam ke-2, serapan T0 kembali menjadi yang tertinggi (39,7 kg ha −1 ) dan T200 terendah, tetapi serupa dengan T200 + 50 (17,1 kg ha −1 ); TMIN dan T100 + 50 memiliki serapan antara yang serupa (rata-rata 29,3 kg ha −1 ).

Varietas Doge menunjukkan serapan N yang berbeda dari hasil komersial (Gbr. 5b ). T0 memiliki hasil yang sama dengan TMIN pada siklus ke-1 dengan masing-masing 24,6 dan 21,0 kg ha -1 ; T200 merupakan perlakuan dengan serapan lebih rendah dibandingkan dengan T0 (-41,2%). Pada siklus ke-2, serapan N lebih tinggi pada T0 dibandingkan dengan semua perlakuan lainnya tanpa perbedaan lain di antara mereka, mencapai 38,3 kg N ha -1 . Serapan nitrogen dari sisa tanaman untuk Doge (Gbr. 5d ) tidak berbeda secara statistik pada siklus tanaman pertama, sedangkan, pada siklus berikutnya, TMIN memiliki serapan tertinggi (20,4 kg ha -1 ), sedangkan T200 + 50 memiliki yang terendah (1,9 kg ha -1 ). Penyerapan N dari residu Imperiale, ditunjukkan pada Gambar 5(c) , lebih tinggi pada T0 dan TMIN dibandingkan dengan seluruh perlakuan SPS, yang jumlahnya di bawah 15 kg ha −1 , tetapi, pada siklus ke-2, T100 + 50 dan TMIN memperoleh jumlah N yang lebih tinggi pada residu tanaman dibandingkan dengan T200 dan T200 + 50 (masing-masing 7,79 dan 7,37 kg ha −1 ).
Gambar 6 (a,b) menunjukkan kandungan nitrogen tanah pada kedalaman tanah 0–20 cm di akhir setiap siklus tanam. Pada awal percobaan, jumlah nitrogen dalam tanah adalah 4589 kg N ha −1 (data tidak dilaporkan). Pada siklus ke-1, yang hanya berlangsung selama 2 bulan, N yang ada dalam tanah tidak terpengaruh oleh perlakuan tanah untuk kedua varietas selada, tetapi beberapa perbedaan statistik diamati dalam interaksi ‘Varietas × Perlakuan pemupukan’ di akhir siklus tanam ke-2. Jumlah N tanah pada Doge lebih tinggi pada T200 + 50 dibandingkan dengan semua perlakuan pemupukan lainnya (+12,5%, +5,62% dan +5,71% dibandingkan dengan T0, T100 + 50 dan T200). Untuk kandungan N tanah Imperiale menunjukkan tren yang berbeda, dengan perbedaan statistik hanya antara TMIN dan T100 + 50.

Kualitas tanah
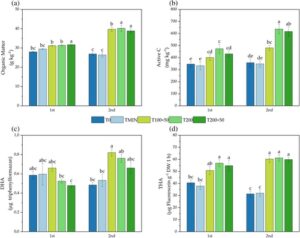
Pengaruh perlakuan pemupukan dan siklus panen secara statistik signifikan terhadap Bahan Organik (OM), Karbon Aktif (Act C), DHA, dan THA (menunjukkan S.1). T200 merupakan perlakuan pemupukan dengan kandungan OM, Act C, dan DHA tertinggi, dibandingkan dengan T0 dan TMIN, yang secara konsisten menunjukkan nilai terendah. Mengenai siklus panen, siklus ke-2 memiliki nilai OM, Act C, dan DHA yang lebih tinggi dibandingkan dengan siklus ke-1. THA yang ditunjukkan pada SM1, secara statistik signifikan hanya untuk perlakuan pemupukan, dengan semua perlakuan SPS menunjukkan nilai yang lebih tinggi dibandingkan dengan T0 dan TMIN.
Untuk kandungan OM, dua interaksi signifikan diamati: ‘FT × C’ (Gbr. 7a ) dan ‘V × C’ (S.2). Dalam interaksi ‘FT × C’, semua perlakuan SPS meningkatkan kandungan OM antara siklus ke-1 dan ke-2 sebesar +27,2% untuk T100 + 50, +28,0% untuk T200 dan +22,7% untuk T200 + 50, sedangkan, pada T0 dan TMIN, OM menurun masing-masing sebesar -3,93% dan -10,51%. Dalam interaksi ‘V × C’, varietas Doge pada siklus ke-2 menunjukkan kandungan OM yang lebih tinggi (35,8 g kg -1 ) dibandingkan dengan varietas Imperiale pada siklus yang sama (33,0 g kg -1 ).

Jumlah karbon aktif juga menunjukkan perbedaan signifikan dalam interaksi ‘FT × C’ (Gbr. 7b ), dengan peningkatan sebesar +34,3% dari T200 × 1 ke T200 × 2, dan peningkatan sebesar +43,1% dari T200 + 50 × 1 ke T200 + 50 × 2. Lebih jauh, interaksi ‘V × C’ menunjukkan jumlah Act C yang lebih tinggi pada Imperiale × 1 dibandingkan dengan Doge × 1 (SM2).
Akhirnya aktivitas enzim DHA dan THA menunjukkan perbedaan yang signifikan dalam interaksi ‘FT × C’ (seperti yang ditunjukkan pada Gambar 7c,d ). T100 + 50 × 2 lebih tinggi daripada T200 + 50 × 1 untuk DHA, sedangkan semua perlakuan pemupukan dengan SPS pada kedua siklus menunjukkan aktivitas THA yang lebih tinggi daripada T0 dan TMIN.
DISKUSI
Pengukuran pertumbuhan dan hasil
Aplikasi SPS mentah untuk dua siklus tanam berturut-turut selada daun muda secara signifikan mempengaruhi pertumbuhan dan produktivitas tanaman. Dalam kedua siklus dan varietas, T0 menunjukkan nilai yang lebih tinggi dari tutupan tanaman dan total biomassa. Jumlah total N yang ada di dalam tanah (1,67 g kg −1 ) pada awal percobaan ini dapat dianggap tinggi 32 karena manajemen pemupukan perusahaan sebelumnya. Selain itu, variasi yang signifikan dalam kandungan nitrogen tanah dalam perlakuan kontrol memerlukan jumlah waktu yang relevan untuk disorot. Di antara perlakuan SPS T100 + 50 menghasilkan pertumbuhan terbaik dibandingkan dengan perlakuan SPS lainnya: menambahkan 50% pemupukan mineral membantu laju dekomposisi jerami sereal seperti yang juga ditunjukkan oleh Guan et al . 33 yang mengamati mineralisasi jerami yang lebih cepat dicampur dengan pupuk mineral. Dalam hal ini, efek imobilisasi T100 + 50 tidak mempengaruhi produktivitas tanaman secara negatif. Di sisi lain, T200 dan T200 + 50 menurunkan hasil panen karena imobilisasi nitrogen yang lebih tinggi sebagai akibat dari kelebihan SPS. Penambahan 17,5 kg N ha −1 tidak meningkatkan laju dekomposisi pada T200 + 50 seperti yang terjadi pada T100 + 50, mungkin karena tidak cukup untuk mengatasi jumlah bahan organik yang tidak terurai yang lebih tinggi. Hasil yang berbeda diamati dalam penelitian oleh Xu et al . 34 di mana peningkatan jumlah SPS yang dikomposkan selama 1 tahun meningkatkan hasil yang lebih tinggi untuk selada yang dibudidayakan di lingkungan yang terlindungi berkat sifat kimia yang berbeda setelah proses pengomposan. Selain itu, membandingkan kinerja SMS merupakan tantangan karena variabilitas yang tinggi pada substrat jamur. Sebagian besar penelitian menggunakan SMS dari A. bisporus sebagai mentah atau yang dikomposkan, 6 , 14 , 18 , 34 – 38 sedangkan yang lain telah menggunakan SPS hanya setelah proses pengomposan yang berlangsung beberapa bulan. 6 , 38 – 40 Pengelolaan substrat ini dapat mengubah semua karakteristik substrat secara mendalam pada akhir produksi jamur. Bahan SPS yang digunakan dalam percobaan ini masih mentah dan belum mengalami perlakuan sebelumnya yang mengubah komposisinya. Pilihan ini dibuat untuk melihat efek kimia dan biologis pada tanah dari bahan mentah tersebut pada akhir proses produksi jamur dan untuk membatasi biaya pengelolaan produk sampingan organik ini. Pada saat yang sama, SPS tidak dapat dianggap sebagai jerami gandum mentah karena telah didegradasi oleh P. ostreatus.selama produksi jamur yang mengubah jumlah komponen lignoselulosa dan rasio C/N dibandingkan dengan jerami gandum mentah (dari 100 menjadi 45). Beberapa penelitian telah menunjukkan bahwa residu pertanian terdegradasi oleh miselium P. ostreatus ketika membandingkan substrat budidaya sebelum dan sesudah produksi jamur. Adamovic et al . 41 mengamati laju degradasi sebesar 4% untuk lignin, 17% untuk hemiselulosa dan 15% untuk selulosa dalam substrat budidaya untuk P. ostreatus yang sebagian besar terdiri dari jerami gandum dan mengukur degradasi yang lebih cepat untuk hemiselulosa dan lignin. Selain itu, van Kuijk et al . 42 memperhatikan degradasi serupa dari senyawa lignoselulosa yang sama. Jadi, setelah siklus produksi jamur, sebagian lignin dan hemiselulosa jerami sudah terdegradasi dan diubah menjadi glukosa dan xilosa dan dapat lebih mudah didegradasi oleh mikroorganisme. Lebih jauh lagi, keberadaan enzim ekstraseluler yang termasuk dalam kelompok lignoselulolitik berguna untuk membuat degradasi jerami lebih cepat seperti yang juga ditunjukkan oleh Guan et al . 33 Biasanya, untuk penggabungan jerami di lahan terbuka, laju mineralisasi lebih cepat pada fase awal dalam siklus musim panas-gugur dan pada tahap terakhir dalam siklus musim dingin-semi. 43 Oleh karena itu, musim di mana percobaan kami dilakukan pasti memengaruhi kecepatan degradasi SPS. Siklus tanaman ke-1 dan ke-2 terjadi pada musim gugur-dingin dan, meskipun percobaan dilakukan di rumah kaca, suhunya tidak cukup tinggi untuk membantu mineralisasi SPS kecuali pada tahap awal siklus ke-1 dan bulan terakhir siklus ke-2. Varietas menunjukkan perilaku pertumbuhan yang sama dengan perlakuan SPS, tetapi Imperiale mengungguli Doge, terutama pada siklus ke-2. Secara keseluruhan, siklus ke-2 memiliki pertumbuhan yang lebih tinggi sebagai hasil dari peningkatan fotoperiode musiman yang memengaruhi biomassa daun muda dan indeks Spad.
Imperiale dan Doge menunjukkan perilaku yang berbeda dalam penyerapan nitrogen dari sumber organik dan mineral. Penyerapan nitrat merupakan transpor aktif yang memerlukan energi dan karbohidrat, yang menyebabkan perbedaan penyerapan nitrat di antara berbagai varietas selada jika mereka memiliki kapasitas fotosintesis yang berbeda. 44 Dalam penelitian ini, indeks SPAD berbeda di antara berbagai varietas. Tanaman selada terutama mengakumulasi nitrat di daun tetapi tanaman juga dapat menyimpannya di akar selama penyerapan berlebih. Perilaku ini dapat menjelaskan rendahnya jumlah nitrat yang ditemukan dalam sampel komersial varietas Doge di TMIN. 45 Meskipun demikian, perlakuan SPS tidak menyebabkan kandungan nitrat yang lebih tinggi dalam produk, yang berada di bawah jumlah maksimum yang ditunjukkan oleh Reg. UE 1258/2011. Di sisi lain, hanya siklus tanaman ke-1 yang memengaruhi kandungan nitrat dengan nilai yang lebih tinggi (panen pada bulan Desember) dibandingkan dengan siklus ke-2 (panen pada bulan Maret) karena periode cahaya yang lebih panjang dan intensitas radiasi yang lebih tinggi yang menurunkan akumulasi nitrat. 46
Efisiensi penggunaan nitrogen
Indeks efisiensi penggunaan nitrogen menunjukkan sedikit perbedaan signifikan antar perlakuan, kemungkinan sebagai akibat dari siklus panen yang pendek dan musim dingin, yang memengaruhi mineralisasi bahan organik dan dinamika nutrisi. Hasil indeks AE negatif, yang menunjukkan kesuburan tanah yang tinggi pada T0 dibandingkan dengan semua perlakuan pemupukan lainnya dan efisiensi yang lebih rendah dari nitrogen yang dipasok melalui pemupukan. TMIN dan T200 menunjukkan hasil AE terendah, yang menunjukkan bahwa pemupukan mineral dan perlakuan SPS saja mungkin kurang efisien dibandingkan dengan perlakuan yang menggabungkan pemupukan organik dan mineral. Kombinasi ini, seperti yang terlihat pada T100 + 50 dan T200 + 50, membantu mineralisasi SPS dan meningkatkan ketersediaan nutrisi, seperti yang disarankan oleh Liu et al . 47 dan Guan et al . 33 Selain itu, Nicoletto et al . 48 menemukan indeks AE yang berkurang pada dua spesies selada yang berbeda ketika residu pencernaan anaerobik dalam jumlah yang lebih tinggi digunakan. Namun, dalam kasus ini, rasio C/N dari SPS lebih tinggi daripada residu pencernaan anaerobik, membuat perbandingan langsung antara dua pupuk organik tidak tepat. Indeks AE menunjukkan perbedaan yang signifikan secara statistik untuk semua faktor dan interaksi: Imperiale menunjukkan kemampuan yang lebih baik daripada Doge untuk menggunakan nitrogen dalam perawatan pemupukan yang melibatkan pemupukan mineral (TMIN, T100 + 50, dan T200 + 50). Demikian pula, Santamaria et al . 49 mengamati perbedaan dalam efisiensi penggunaan nitrogen antara dua ekotipe salad roket dan Di Gioia et al . 50 melaporkan variasi dalam indeks AE antara dua spesies selada dengan peningkatan tingkat pemupukan nitrogen. Dalam penelitian ini, varietas selada secara signifikan mempengaruhi beberapa parameter produktif dan penyerapan dan penggunaan nitrogen. Efek-efek ini dibahas dalam kaitannya dengan parameter kualitas tanah seperti DHA dan THA, yang menunjukkan korelasi antara aktivitas enzimatik yang berbeda di dalam tanah dan penyerapan nitrogen oleh berbagai varietas selada.
Pada saat yang sama, siklus pertumbuhan aplikasi perlakuan SPS mempengaruhi efisiensi pemupukan nitrogen: TMIN, T100 + 50 dan T200 + 50 menunjukkan efisiensi yang lebih baik pada siklus tanam pertama dibandingkan dengan siklus tanam kedua yang terjadi di musim dingin (dari Desember hingga Maret); dengan demikian, menunjukkan bahwa akumulasi dari dua perlakuan pemupukan SPS yang dilakukan secara berturut-turut menurunkan efisiensi penggunaan nitrogen secara keseluruhan.
Indeks EU tidak menunjukkan hasil yang sama dengan nilai yang lebih tinggi pada TMIN dan T100 + 50 yang disebabkan oleh korelasinya dengan total biomassa dan bukan dengan hasil panen komersial. Siklus panen memiliki perbedaan yang signifikan untuk indeks AE, ARE dan EU. AE menunjukkan bahwa pada siklus panen pertama, perlakuan pemupukan lebih efektif untuk hasil panen dibandingkan dengan siklus panen kedua, sedangkan ARE dan UE, dihitung dengan mempertimbangkan jumlah serapan N oleh tanaman, memiliki hasil yang lebih baik dalam siklus tanaman kedua. Hasil ini dapat dijelaskan dengan suksesi perlakuan pemupukan yang diterapkan di tanah dalam waktu singkat di samping kondisi cahaya dan suhu yang berbeda selama bagian terakhir siklus yang tidak membantu mineralisasi perlakuan SPS di tanah. Selain itu, dalam siklus tanaman kedua, fotoperiode yang lebih panjang dan suhu yang lebih tinggi terjadi ketika tanaman telah mencapai tahap pertumbuhan yang tinggi, menghasilkan akumulasi fotosintat total yang lebih tinggi, tersedia untuk penyerapan nitrogen.
Penyerapan nitrogen dari biomassa komersial lebih tinggi pada T0, TMIN untuk penyerapan yang lebih mudah oleh tanaman dari sumber mineral yang ada di dalam tanah, pada T100 + 50 dan T200 + 50 pada siklus ke-1 di mana jumlah nitrogen mineral yang diaplikasikan ke dalam tanah tersedia untuk tanaman dan membantu mikroorganisme untuk memineralisasi SPS. Penyerapan nitrogen untuk SPS lebih rendah pada siklus ke-2 karena suhu rendah memperlambat aktivitas mikroorganisme yang membuat nitrogen kurang tersedia untuk tanaman. Penyerapan nitrogen dari sisa tanaman sangat penting untuk penggabungan selanjutnya ke dalam tanah yang selanjutnya dapat meningkatkan kadar N ke dalam tanah. TMIN dan T0 memiliki, untuk kedua varietas, penyerapan N yang lebih tinggi, dan T100 + 50 untuk Imperiale.
Kandungan nitrogen di 20 cm tanah teratas ditingkatkan oleh SPS hanya dalam dua siklus tanam (6 bulan), dengan varietas Imperiale dan perlakuan SPS menunjukkan nilai tertinggi, yang menunjukkan peningkatan ketersediaan nitrogen untuk panen berikutnya. Tren serupa diamati pada varietas Doge, meskipun SPS tidak meningkatkan kadar nitrogen sebanyak dengan Imperiale, tetapi mempertahankan kadar yang konsisten. Selain itu, peningkatan kandungan nitrogen di tanah dapat bermanfaat bagi siklus tanam berikutnya karena mineralisasi dari perlakuan pemupukan sebelumnya dapat membantu mikroorganisme melawan efek imobilisasi dari penambahan SPS baru.
Bahan organik, karbon aktif dan aktivitas enzim
Aplikasi SPS meningkatkan, seperti yang diharapkan, kandungan OM dibandingkan dengan pemupukan mineral dan perlakuan kontrol. Setelah 2 bulan dari aplikasi SPS, pada akhir siklus ke-1, T200 + 50 menunjukkan jumlah OM yang lebih tinggi dibandingkan dengan TMIN; pada akhir siklus ke-2 (6 bulan setelah dimulainya percobaan) semua perlakuan SPS menunjukkan peningkatan OM yang signifikan. Hasil ini sesuai dengan yang dilaporkan sebelumnya dalam penelitian menggunakan substrat bekas dari Agaricus bisporus , Auricularia auricula dan jamur Enoki. 14 , 51 , 52 OM dalam tanah bahkan dipengaruhi oleh varietas selada seperti yang ditunjukkan pada siklus ke-2. Tren ini dapat dijelaskan oleh perbedaan yang diperhatikan dalam komunitas mikroba di zona akar dan aktivitas enzim DHA yang berbeda. Yang terakhir berhubungan dengan kandungan OM dalam tanah dan lebih tinggi di Doge dibandingkan dengan Imperiale. Kandungan Act C lebih tinggi pada perlakuan SPS dengan dosis yang lebih tinggi (T200 dan T200 + 50) dan pada siklus ke-2 disebabkan oleh akumulasi SPS setelah 6 bulan percobaan. Perilaku yang berbeda dari dua varietas selada daun muda diamati pada aktivitas enzim DHA dan Act C, hasil ini dapat dijelaskan oleh hubungan yang berbeda antara mikroorganisme varietas selada bayi dan penyerapan nitrogen: Doge mampu menyerap lebih banyak nitrat dari SPS berkat aktivitas DHA yang lebih tinggi, sedangkan Imperiale menyerap lebih banyak nitrat dari sumber mineral dan memiliki lebih sedikit DHA tetapi lebih banyak Act C, sumber makanan yang mudah bagi mikroorganisme.
KESIMPULAN
Aplikasi substrat Pleurotus bekas (SPS) mentah selama dua siklus panen selada daun muda berturut-turut menunjukkan efek signifikan pada pertumbuhan dan produktivitas, dengan perbedaan mencolok yang diamati antara perlakuan dan varietas. Perlakuan kontrol (T0) secara konsisten menghasilkan cakupan panen dan total biomassa yang lebih tinggi dibandingkan dengan perlakuan SPS, yang menyoroti pentingnya strategi pemupukan yang efektif.
Di antara perlakuan SPS, T100 + 50 menghasilkan hasil terbaik dalam hal produksi, yang menunjukkan bahwa kombinasi pemupukan mineral 50% dengan SPS meningkatkan laju dekomposisi, sehingga meningkatkan ketersediaan nutrisi tanpa berdampak negatif pada hasil panen. Sebaliknya, konsentrasi SPS yang lebih tinggi (T200 dan T200 + 50) menyebabkan penurunan hasil panen karena imobilisasi nitrogen yang berlebihan.
Studi saat ini mengungkap bahwa kandungan nitrogen dalam tanah membaik dengan aplikasi SPS, khususnya dengan varietas Imperiale, yang menunjukkan penyerapan dan pemanfaatan nitrogen yang lebih unggul dibandingkan dengan Doge. Waktu dan kondisi musiman siklus tanaman juga memainkan peran penting dalam dinamika nitrogen dan kinerja tanaman, dengan siklus pertama menunjukkan efisiensi yang lebih baik dalam mineralisasi dan siklus kedua menghasilkan hasil yang lebih tinggi. Lebih jauh lagi, SPS secara signifikan meningkatkan bahan organik, karbon aktif, dan aktivitas enzim dalam tanah, yang berkontribusi pada peningkatan aktivitas mikroba dan siklus nutrisi. Perilaku varietas selada yang berbeda dalam hal penyerapan nitrogen dan aktivitas enzim menunjukkan bahwa pemilihan varietas sangat penting untuk mengoptimalkan manfaat aplikasi SPS. Temuan ini menggarisbawahi potensi SPS mentah sebagai pupuk organik yang berharga, khususnya bila dikombinasikan dengan pemupukan mineral, untuk meningkatkan kesuburan tanah dan produktivitas tanaman dalam praktik pertanian berkelanjutan. Penelitian di masa mendatang harus mengeksplorasi efek jangka panjang dan lebih mengoptimalkan tingkat aplikasi dan kombinasi SPS untuk memaksimalkan manfaat di berbagai spesies daun muda dan kondisi pertumbuhan.